-
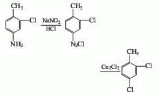
2,4-二氯
結構式 物競編號 029p 分子式 c7h6cl2 分子量 161 標簽 2,4-二氯-1-甲基, 2,4-二氯(二氯), 2,4-二氯-1-, 2,4-dichl ... -
五氯硝基
結構式 物競編號 01t3 分子式 c6cl5no2 分子量 295.33 標簽 土粒散, 五氯硝基原粉, 硝基五氯, 掘地生粉劑, ... -
2-氯對
結構式 物競編號 029n 分子式 c8h9cl 分子量 140.61 標簽 2-氯對茬, 2-氯對, 2-氯-1,4-二甲基, 2,5-dimethylchlor ... -
敵百蟲
結構式 物競編號 015m 分子式 c4h8cl3o4p 分子量 257.44 標簽 二甲基-(1-羥基-2,2,2-三氯乙基)膦酸酯, o,o-二甲基-(2,2,2-三氯-1-羥基乙基)磷酸酯, 美曲磷酯, ...





